The Seven Magnetic Moments - The Electromagnetic Revolution
Oersted's discovery
For centuries, people were struck by the similarities between the way electrified amber attracted small objects made up of many substances and the attraction between lodestone and iron - could there be a connection? In 1681, a ship bound for Boston was struck by lightning, and it was noted that "The compasses were changed, the north point was turn'd clear south, the ship was steered to Boston with the compasses reversed"
Galvani's experiments and the development of the electric pile by Volta, stimulated a search for the elusive connection between electricity and magnetism. The story has it that, Hans-Christian Oersted(right), a Danish scientist who had been lecturing on the subject since 1807, was electrifying a conductor by connecting it to a voltaic pile, showing that there was no influence whatsoever on a nearby magnetic needle. On one occasion in April 1820 he asked his assistant Hansteen to help him as usual, but Hansteen had carelessly closed the circuit allowing the electric fluid to leak away, and the needle deflected in the perpendicular direction. Apparently, the reason why the no deflection had been seen before was that Oerstad always placed his needles in the same plane as the conductor and they were not free to rotate in a vertical plane. His memoir was hastily published in Latin (then a more universal tongue than Danish) and circulated to learned societies throughout the world.
The response was electric, French and British scientists leading the competition for discoveries. The French Academy of Science boasted a wealth of talent which has never been surpassed- Poisson, Fresnel, Fourier, Laplace and particularly active in this new field Biot, Savart, Arago, and Ampére. Arago's experiments showed that current acts like an ordinary magnet, attracting iron and magnetizing needles. The following week Ampére read a paper in which he suggested that internal electrical currents were responsible for the existence of ferromagnetism and that these currents flowed perpendicular to the axis of the magnet. He suggested to Arago that a current in a solenoid should show stronger magnetizing effects than that in a single wire and they jointly performed the successful experiment which Arago reported on 6 November 1820.
Michael Faraday, who was regarded as the greatest experimental genius of his century, built his electromagnet at the Royal Institution in London with a link from an anchor chain and with it discovered both the law of electromagnetic induction, and the link between light and magnetism, the magneto-optic Faraday effect, which bears his name. He studied the magnetic properties of a host of ordinary materials and found that all are either ferromagnetic, diamagnetic or paramagnetic, although usually to a very small degree. He developed the concept of a magnetic field, and represented it by lines of force.
Faraday's "fields" were put on a mathematical footing by James Clerk Maxwell, who unified the sciences of electricity, magnetism and light.
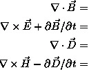
Before beginning his "Treatise on Electricity and Magnetism"(1873), Maxwell resolved to read no mathematics on the subject until I had first read through Faraday's 'Experimental Researches on Electricity'. I was aware that there was supposed to be a difference between Faraday's way of conceiving phenomena and that of the mathematicians...(yet) as I proceeded with the study, I perceived that his method was capable of being expressed in ordinary mathematical forms...I also found that several of the most fertile areas of research discovered by the mathematicians could be expressed much better in terms of ideas derived from Faraday than in their original form." Four great equations which had the laws of Ampére, Faraday, Biot and Savart, and Laplace as special cases were formulated from Maxwell's work in vector form by Heavyside.

Faraday's "fields" were put on a mathematical footing by James Clerk Maxwell, who unified the sciences of electricity, magnetism and light.
Before beginning his "Treatise on Electricity and Magnetism"(1873), Maxwell resolved to read no mathematics on the subject until I had first read through Faraday's 'Experimental Researches on Electricity'. I was aware that there was supposed to be a difference between Faraday's way of conceiving phenomena and that of the mathematicians...(yet) as I proceeded with the study, I perceived that his method was capable of being expressed in ordinary mathematical forms...I also found that several of the most fertile areas of research discovered by the mathematicians could be expressed much better in terms of ideas derived from Faraday than in their original form." Four great equations which had the laws of Ampére, Faraday, Biot and Savart, and Laplace as special cases were formulated from Maxwell's work in vector form by Heavyside.
These four equations epitomize the electromagnetic revolution. Richard Feynman claimed that "ten thousand years from now, there can be little doubt that the most significant event of the 19th century will be judged as Maxwell's discovery of the laws of electrodynamics"The harmonic solutions of the equations are light and other electromagnetic waves like the radio waves discovered in 1888 by H.R. Hertz.
The fruits of the electromagnetic revolution have been the electrification of the planet and global communications of images and information at the speed of light.