|
|
|
Least squares index
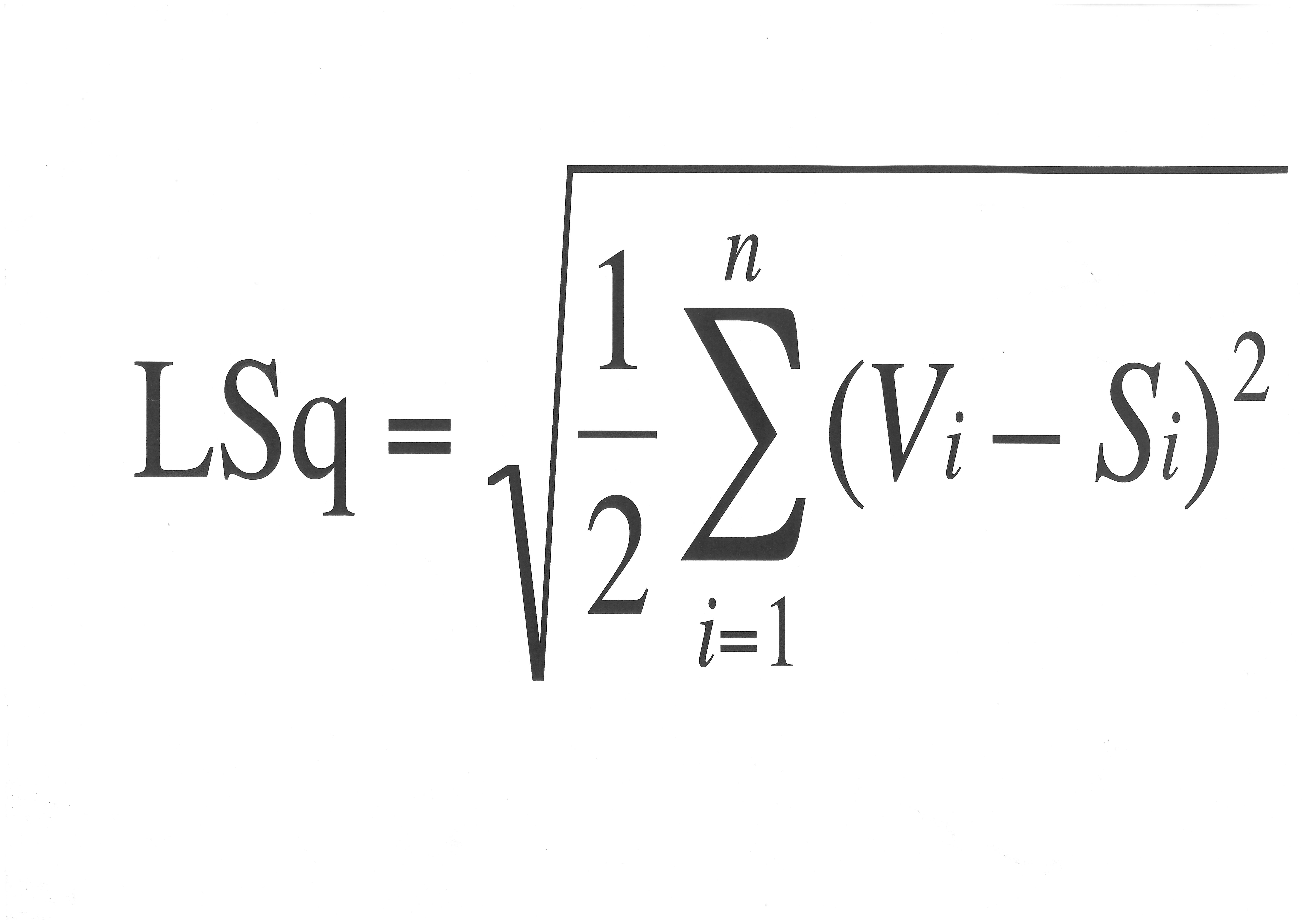
The least squares index (LSq) was devised in the late 1980s (17 July 1989) as a measure of the amount of disproportionality generated by an election outcome, by which is meant the disparity, if any, between the distribution of votes at the election and the allocation of seats. There are various ways in which this could be measured and they do not all produce identical rankings of a particular seat allocation; in other words, an allocation that minimises disproportionality (i.e. is the most proportional) according to one measure will not necessarily be the most proportional by another measure. The construction of the index owed much to the work of contemporary electoral systems scholars such as Arend Lijphart and Douglas Rae and also to an article published in 1911 by the French mathematician André Sainte-Laguë. The index was outlined in an article (download front page of article here; full article available from site of the journal Electoral Studies) published in 1991. It received an important endortsement from the leading student of electoral systems, Arend Lijphart, who in his book Electoral Systems and Party Systems: a study of twenty-seven democracies, 1945–1990 (Oxford University Press, 1994), p. 62, having reviewed a number of different methods of measuring disproportionality, wrote: 'I shall rely mainly on the least squares index which I regard as the most sensitive and faithful reflection of the disproportionality of election results'. The least squares index, along with other indices, is evaluated in, for example:
Verónico Arredondo, Miguel Martínez-Panero, Antonio Palomares, Teresa Peña and Victoriano Ramírez, 'New indexes for measuring electoral disproportionality', Revista Electrónica de Communicaciones y Trabajos de Asepuma 21 (2020), pp. 161–78;
Robin E. Best and Andrei Zhirnov, 'The perils and pitfalls of ignoring disproportionality's behavioral components', Electoral Studies 40 (2015), pp. 256–67;
Daniel Bochsler, 'Measures of vote–seat disproportionality for incomplete data', Party Politics 28:1 (2022), pp. 174–83;
Galina Borisyuk, Colin Rallings and Michael Thrasher, 'Selecting indexes of electoral proportionality: general properties and relationships', Quality and Quantity 38 (2004), pp. 51–74;
Michael Gallagher, 'Proportionality, disproportionality and electoral systems', Electoral Studies 10:1 (1991), pp. 33–51;
Josh Goldenberg and Stephen D. Fisher, 'The Sainte-Laguë index of disproportionality and Dalton's principle of transfers', Party Politics 25:2 (2019), pp. 203–7;
Alexander Karpov, 'Measurement of disproportionality in proportional representation systems', Mathematical and Computer Modelling 48 (2008), pp. 1421–38;
Moshe Koppel and Abraham Diskin, 'Measuring disproportionality, volatility and malapportionment: axiomatization and solutions', Social Choice and Welfare 33:2 (2009), pp. 281–6;;
Burt L. Monroe, 'Disproportionality and malapportionment: measuring electoral inequity', Electoral Studies 13:2 (1994), pp. 132–49;
Rein Taagepera and Bernard Grofman, 'Mapping the indices of seats–votes disproportionality and inter-election volatility', Party Politics 9:6 (2003), pp. 659–77;
Tom Van Puyenbroeck, 'Proportional representation, Gini coefficients, and the principle of transfers', Journal of Theoretical Politics 20:4 (2008), pp. 498–526.

While measures of disproportionality rarely generate much public interest, the least squares index became the subject of controversy in the Canadian House of Commons on 1 December 2016 when Maryam Monsef, the Minister of Democratic Institutions in the Liberal Party government, expressed disappointment at what she saw as an unsatisfactory report from a parliamentary committee on election reform. She complained twice that whereas she had hoped for a recommendation for a specific alternative electoral system, 'Instead they've provided us with the Gallagher index', holding up a piece of paper with the least squares formula printed in large font upon it as she spoke. (See pictures here and here, the second being a story (seemingly no longer available online) from the Montréal newspaper La Presse (5 December 2016), where it is dubbed 'L'image du jour', and story and video clip on CBC site, plus interview with the National Post.) Canadian sales of The Politics of Electoral Systems boomed in the following days, or so its editors would like to think.
More information about the least squares index and about the effective number of parties, a measure of fragmentation, can be found on the accompanying site, which contains
(i) the values of the index for over 1,450 elections in over 140 countries;
(ii) a downloadable file explaining in detail how to calculate the value of the index for any given election outcome;
(iii) a downloadable file enabling users to calculate the value of the index themselves for any election outcome.
There is also much more information in the book The Politics of Electoral Systems, paperback edition (Oxford University Press, 2008).
Translations
(Unfortunately, some characters, eg those with an accent, an umlaut or equivalent, are impossible to reproduce accurately in this format; the attached file LSqTrans.pdf (40kb), viewable or downloadable here, shows how the translations should look.)
| Language | Translation |
| English | least squares index |
| Albanian | Indeksi i katroreve me te vegjel |
| Danish | mindste kvadraters indekset |
| Dutch, Afrikaans | de kleinste kwadraten index |
| Estonian | vahimruudu naitaja |
| Finnish | pienin neliosumman hakemisto |
| French | l'indice des moindres carrés |
| German | Index der kleinsten Quadrate |
| Bahasa Indonesia | indéks kuadrat terkecil |
| Irish | Innéacs na nÍoschearnóg |
| Italian | l'indice di minimi quadrati |
| Javanese | indeks quadrat paling sithik |
| Norwegian | minst rutene indeksen |
| Polish | indeks najmniejszych kwadratów |
| Portuguese | o mínimos quadrados índice |
| Spanish | el índice de mínimos cuadrados |
| Swedish | minsta kvadratmetoden index |
Another concept widely used in the analysis of electoral systems is the effective threshold.
Some political photographs.
![]() |
![]() |
![]() |
Last updated 12 February, 2025 11:54 AM